Tuesday, May 26, 2020

Sunday, May 10, 2020

For students week ending May 9th


====
Math Methods question on Product rule and chain rule with differentiation



===
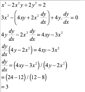
 Specialist Math Question which I'll post answer, illustration and explanation

Answer from textbook

Worked example from another book



Explanation
Looking at the first question. We must calculate the rate of change of KG of Salt over time, or dM/dt.
Firstly, note the rate of inflow of salt is 50kg every minute. 
The rate of outflow of salt is the amount of salt divided by the volume of solution, times 12, because 12 litres is exiting every minute. 
The rate of change of solution volume is volume in - volume out, = 10L in - 12L out. = -2L
Integrating volume with respect to time, we get Volume = -2t +c. 
Initial conditions show c= 200L when t=0. 
So total volume is 200-2t
Remember, outflow =12m/V=12m/(200-2t)
Which simplifies to 6m/(100-t)
Now, the rate of change of m, salt, is given by dm/dt=50-6m/(100-t) inflow minus outflow
note t does not equal, or exceed, 100 (because losing 2L a minute). 

I've not highlighted the differences in the worked example yet
===

===